호주에서 부모없이 미성년자 학생이 유학하려면, 학생 비자(Subclass 500) 외에도 적절한 보호자 지정이 필요합니다. 이를 위해 가디언 비자(Subclass 590)를 신청할 수 있으며, 부모 또는 친척이 학생과 함께 거주하며 보호자의 역할을 할 수 있습니다.
하지만 학생이 부모 없이 호주에서 공부할 수 있는 나이와 보호자 지정 옵션은 주마다 다르므로, 각 주의 교육청 규정을 확인하셔야 합니다.
예를 들어, 시드니는 5학년 이상부터 내무부 승인된 직계 혈연과 거주가 가능하며, 홈스테이는 9학년부터 가능해요.
아래 조기유학으로 제일 많이 가는 뉴사우스웨일스, 퀸즐랜드, 빅토리아 주의 규정 알려드려요.

https://www.deinternational.nsw.edu.au/study-options/study-programs/international-student-program

https://eqi.com.au/why-queensland/homestay-and-accommodation-options

https://www.study.vic.gov.au/en/international-student-program/live-and-study-in-victoria/accommodation-and-homestay
멜번이 있는 빅토리아주의 경우에는 학년으로 구분되어 있지 않고, 만15세 이상부터 학부모지정보호자 또는 홈스테이가 가능한 것으로 안내되어 있어 학생의 생일이 빠르다면 Y9부터도 가능할 것 같아요.
직계 혈연(DHA Approved Relative)의 범위
호주 내무부(Department of Home Affairs)가 승인하는 직계 혈연 보호자의 범위는 다음과 같습니다.
* 조부모 (Grandparent)
* 형제/자매 (Sibling)
* 삼촌/이모/고모 (Uncle/Aunt)
즉, 부모님을 제외한 가까운 친척이 학생의 보호자로 인정될 수 있으며, 내무부의 승인을 받아야 합니다.
CAAW란?
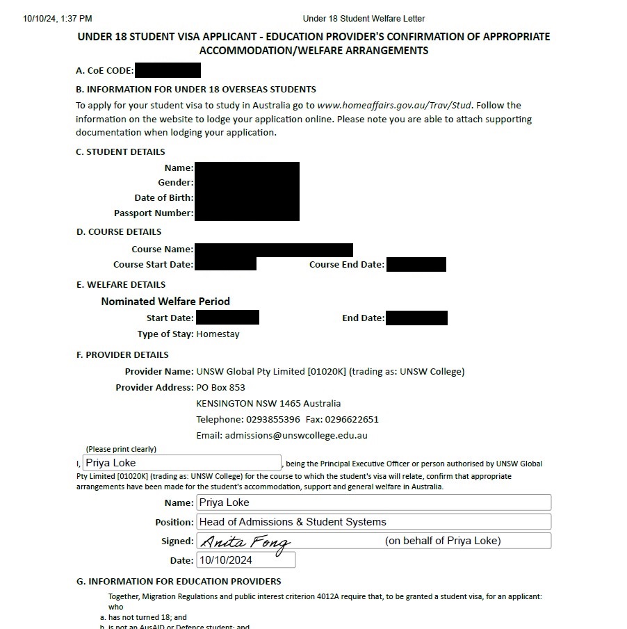
만 18세 미만의 학생이 부모 없이 호주에서 유학하려면, 반드시 CAAW (Confirmation of Appropriate Accommodation and Welfare) 서류가 필요합니다.
CAAW는 학교에서 학생의 체류 기간 동안 적절한 숙소와 복지를 보장한다는 증명서로, 가디언 비자(Subclass 590)를 동반하지 않는 경우 필수적으로 제출해야 합니다.
각 학교는 학생의 안전과 복지를 책임질 수 있는 홈스테이 또는 기숙사 옵션을 제공하며, 학생 비자(Subclass 500) 신청 시 CAAW 서류를 함께 제출해야 합니다.
📄 CAAW 샘플



호주에서 부모없이 미성년자 학생이 유학하려면, 학생 비자(Subclass 500) 외에도 적절한 보호자 지정이 필요합니다. 이를 위해 가디언 비자(Subclass 590)를 신청할 수 있으며, 부모 또는 친척이 학생과 함께 거주하며 보호자의 역할을 할 수 있습니다.
하지만 학생이 부모 없이 호주에서 공부할 수 있는 나이와 보호자 지정 옵션은 주마다 다르므로, 각 주의 교육청 규정을 확인하셔야 합니다.
예를 들어, 시드니는 5학년 이상부터 내무부 승인된 직계 혈연과 거주가 가능하며, 홈스테이는 9학년부터 가능해요.
아래 조기유학으로 제일 많이 가는 뉴사우스웨일스, 퀸즐랜드, 빅토리아 주의 규정 알려드려요.

https://www.deinternational.nsw.edu.au/study-options/study-programs/international-student-program
https://www.study.vic.gov.au/en/international-student-program/live-and-study-in-victoria/accommodation-and-homestay
멜번이 있는 빅토리아주의 경우에는 학년으로 구분되어 있지 않고, 만15세 이상부터 학부모지정보호자 또는 홈스테이가 가능한 것으로 안내되어 있어 학생의 생일이 빠르다면 Y9부터도 가능할 것 같아요.
직계 혈연(DHA Approved Relative)의 범위
호주 내무부(Department of Home Affairs)가 승인하는 직계 혈연 보호자의 범위는 다음과 같습니다.
* 조부모 (Grandparent)
* 형제/자매 (Sibling)
* 삼촌/이모/고모 (Uncle/Aunt)
즉, 부모님을 제외한 가까운 친척이 학생의 보호자로 인정될 수 있으며, 내무부의 승인을 받아야 합니다.
CAAW란?
만 18세 미만의 학생이 부모 없이 호주에서 유학하려면, 반드시 CAAW (Confirmation of Appropriate Accommodation and Welfare) 서류가 필요합니다.
CAAW는 학교에서 학생의 체류 기간 동안 적절한 숙소와 복지를 보장한다는 증명서로, 가디언 비자(Subclass 590)를 동반하지 않는 경우 필수적으로 제출해야 합니다.
각 학교는 학생의 안전과 복지를 책임질 수 있는 홈스테이 또는 기숙사 옵션을 제공하며, 학생 비자(Subclass 500) 신청 시 CAAW 서류를 함께 제출해야 합니다.
📄 CAAW 샘플
